Go to The Journal of Clinical Investigation
  • About
  • Editors
  • Consulting Editors
  • For authors
  • Publication ethics
  • Publication alerts by email
  • Transfers
  • Advertising
  • Job board
  • Contact
  • Physician-Scientist Development
  • Current issue
  • Past issues
  • By specialty
    • COVID-19
    • Cardiology
    • Immunology
    • Metabolism
    • Nephrology
    • Oncology
    • Pulmonology
    • All ...
  • Videos
  • Collections
    • In-Press Preview
    • Resource and Technical Advances
    • Clinical Research and Public Health
    • Research Letters
    • Editorials
    • Perspectives
    • Physician-Scientist Development
    • Reviews
    • Top read articles

  • Current issue
  • Past issues
  • Specialties
  • In-Press Preview
  • Resource and Technical Advances
  • Clinical Research and Public Health
  • Research Letters
  • Editorials
  • Perspectives
  • Physician-Scientist Development
  • Reviews
  • Top read articles
  • About
  • Editors
  • Consulting Editors
  • For authors
  • Publication ethics
  • Publication alerts by email
  • Transfers
  • Advertising
  • Job board
  • Contact
Characteristics of anti–integrin αvβ6 autoantibodies in patients with ulcerative colitis
Ikuhisa Takimoto, Masahiro Shiokawa, Yoshihiro Nishikawa, Takeshi Kuwada, Sakiko Ota, Darryl Joy C. Juntila, Takafumi Yanaidani, Kenji Sawada, Ayako Hirata, Muneji Yasuda, Koki Chikugo, Risa Nakanishi, Masataka Yokode, Yuya Muramoto, Shimpei Matsumoto, Tomoaki Matsumori, Tsutomu Chiba, Hiroshi Seno
Ikuhisa Takimoto, Masahiro Shiokawa, Yoshihiro Nishikawa, Takeshi Kuwada, Sakiko Ota, Darryl Joy C. Juntila, Takafumi Yanaidani, Kenji Sawada, Ayako Hirata, Muneji Yasuda, Koki Chikugo, Risa Nakanishi, Masataka Yokode, Yuya Muramoto, Shimpei Matsumoto, Tomoaki Matsumori, Tsutomu Chiba, Hiroshi Seno
View: Text | PDF
Research Article Gastroenterology

Characteristics of anti–integrin αvβ6 autoantibodies in patients with ulcerative colitis

  • Text
  • PDF
Abstract

Ulcerative colitis (UC) is a chronic inflammatory condition of the colon that primarily affects the mucosal layer. Previously, we identified autoantibodies against integrin αvβ6 in patients with UC. In this study, we established monoclonal antibodies (mAbs) from patients with UC to reveal the features and functions of these anti–integrin αvβ6 autoantibodies. We identified two shared heavy chain complementarity-determining region 3 (CDR3) amino acid sequences among different patients with UC. Notably, several mAbs contained the RGD sequence in their heavy chain CDR3 that mimicked the key recognition sequence of integrin αvβ6 ligands such as fibronectin. Almost all mAbs selectively reacted with integrin αvβ6 in the presence of divalent cations (Ca2+ and Mg2+) and blocked fibronectin–integrin αvβ6 binding. MAbs that shared the same heavy chain CDR3 amino acid sequence showed differences in reactivity to integrin αvβ6, indicating that the reactivity of these mAbs is also affected by the light chain. Some of the mAbs showed varying degrees of cross-reactivity with integrin αvβ3. The identification of shared CDR3 amino acid sequences in anti–integrin αvβ6 antibodies from several patients with UC suggests a common mechanism underlying their production, which may help elucidate the pathogenesis of UC.

Authors

Ikuhisa Takimoto, Masahiro Shiokawa, Yoshihiro Nishikawa, Takeshi Kuwada, Sakiko Ota, Darryl Joy C. Juntila, Takafumi Yanaidani, Kenji Sawada, Ayako Hirata, Muneji Yasuda, Koki Chikugo, Risa Nakanishi, Masataka Yokode, Yuya Muramoto, Shimpei Matsumoto, Tomoaki Matsumori, Tsutomu Chiba, Hiroshi Seno

×

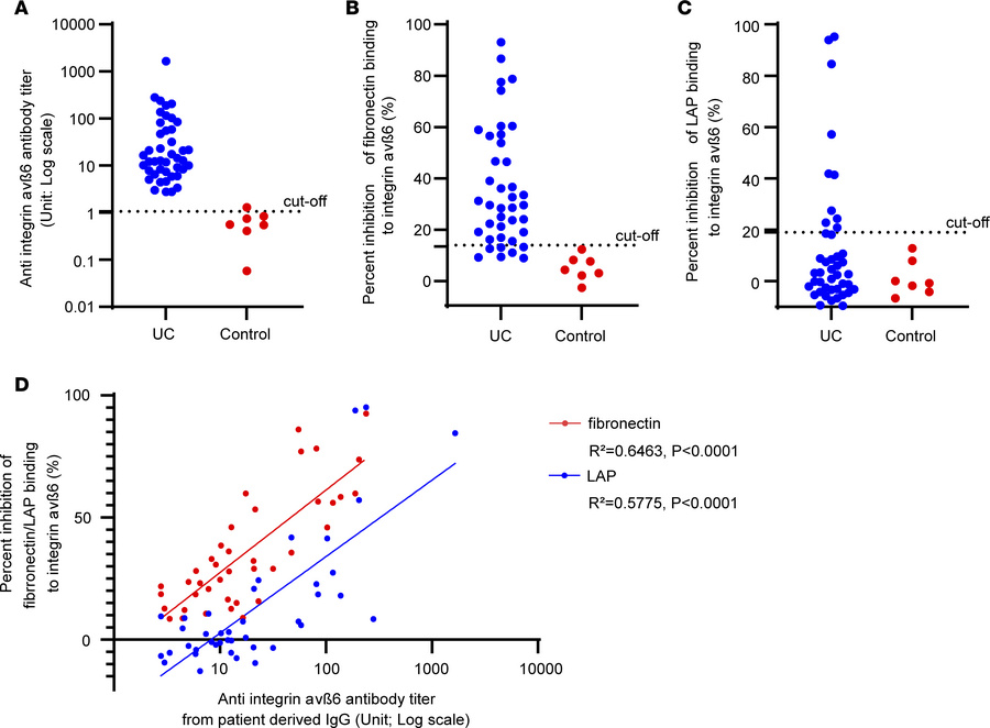
Figure 5

Evaluation of anti–integrin αvβ6 antibodies using IgG from patients with UC.

Options: View larger image (or click on image) Download as PowerPoint
Evaluation of anti–integrin αvβ6 antibodies using IgG from patients with...
(A) Presence of anti–integrin αvβ6 antibodies in IgG derived from patients with UC. (B and C) Inhibitory effect of patient-derived IgG on integrin αvβ6–fibronectin binding (B) and integrin αvβ6–LAP binding (C). (D) Correlation of percentage inhibition of integrin αvβ6–fibronectin binding (B) and integrin αvβ6–LAP binding with antibody titers (fibronectin: R2 = 0.6463, P < 0.0001; LAP: R2 = 0.5775, P < 0.0001).

Copyright © 2026 American Society for Clinical Investigation
ISSN 2379-3708

Sign up for email alerts