Go to The Journal of Clinical Investigation
  • About
  • Editors
  • Consulting Editors
  • For authors
  • Publication ethics
  • Publication alerts by email
  • Transfers
  • Advertising
  • Job board
  • Contact
  • Physician-Scientist Development
  • Current issue
  • Past issues
  • By specialty
    • COVID-19
    • Cardiology
    • Immunology
    • Metabolism
    • Nephrology
    • Oncology
    • Pulmonology
    • All ...
  • Videos
  • Collections
    • In-Press Preview
    • Resource and Technical Advances
    • Clinical Research and Public Health
    • Research Letters
    • Editorials
    • Perspectives
    • Physician-Scientist Development
    • Reviews
    • Top read articles

  • Current issue
  • Past issues
  • Specialties
  • In-Press Preview
  • Resource and Technical Advances
  • Clinical Research and Public Health
  • Research Letters
  • Editorials
  • Perspectives
  • Physician-Scientist Development
  • Reviews
  • Top read articles
  • About
  • Editors
  • Consulting Editors
  • For authors
  • Publication ethics
  • Publication alerts by email
  • Transfers
  • Advertising
  • Job board
  • Contact
Haptoglobin improves shock, lung injury, and survival in canine pneumonia
Kenneth E. Remy, Irene Cortés-Puch, Steven B. Solomon, Junfeng Sun, Benjamin M. Pockros, Jing Feng, Juan J. Lertora, Roy R. Hantgan, Xiaohua Liu, Andreas Perlegas, H. Shaw Warren, Mark T. Gladwin, Daniel B. Kim-Shapiro, Harvey G. Klein, Charles Natanson
Kenneth E. Remy, Irene Cortés-Puch, Steven B. Solomon, Junfeng Sun, Benjamin M. Pockros, Jing Feng, Juan J. Lertora, Roy R. Hantgan, Xiaohua Liu, Andreas Perlegas, H. Shaw Warren, Mark T. Gladwin, Daniel B. Kim-Shapiro, Harvey G. Klein, Charles Natanson
View: Text | PDF
Research Article Clinical trials Infectious disease

Haptoglobin improves shock, lung injury, and survival in canine pneumonia

  • Text
  • PDF
Abstract

During the last half-century, numerous antiinflammatory agents were tested in dozens of clinical trials and have proven ineffective for treating septic shock. The observation in multiple studies that cell-free hemoglobin (CFH) levels are elevated during clinical sepsis and that the degree of increase correlates with higher mortality suggests an alternative approach. Human haptoglobin binds CFH with high affinity and, therefore, can potentially reduce iron availability and oxidative activity. CFH levels are elevated over approximately 24–48 hours in our antibiotic-treated canine model of S. aureus pneumonia that simulates the cardiovascular abnormalities of human septic shock. In this 96-hour model, resuscitative treatments, mechanical ventilation, sedation, and continuous care are translatable to management in human intensive care units. We found, in this S. aureus pneumonia model inducing septic shock, that commercial human haptoglobin concentrate infusions over 48-hours bind canine CFH, increase CFH clearance, and lower circulating iron. Over the 96-hour study, this treatment was associated with an improved metabolic profile (pH, lactate), less lung injury, reversal of shock, and increased survival. Haptoglobin binding compartmentalized CFH to the intravascular space. This observation, in combination with increasing CFHs clearance, reduced available iron as a potential source of bacterial nutrition while decreasing the ability for CFH and iron to cause extravascular oxidative tissue injury. In contrast, haptoglobin therapy had no measurable antiinflammatory effect on elevations in proinflammatory C-reactive protein and cytokine levels. Haptoglobin therapy enhances normal host defense mechanisms in contrast to previously studied antiinflammatory sepsis therapies, making it a biologically plausible novel approach to treat septic shock.

Authors

Kenneth E. Remy, Irene Cortés-Puch, Steven B. Solomon, Junfeng Sun, Benjamin M. Pockros, Jing Feng, Juan J. Lertora, Roy R. Hantgan, Xiaohua Liu, Andreas Perlegas, H. Shaw Warren, Mark T. Gladwin, Daniel B. Kim-Shapiro, Harvey G. Klein, Charles Natanson

×

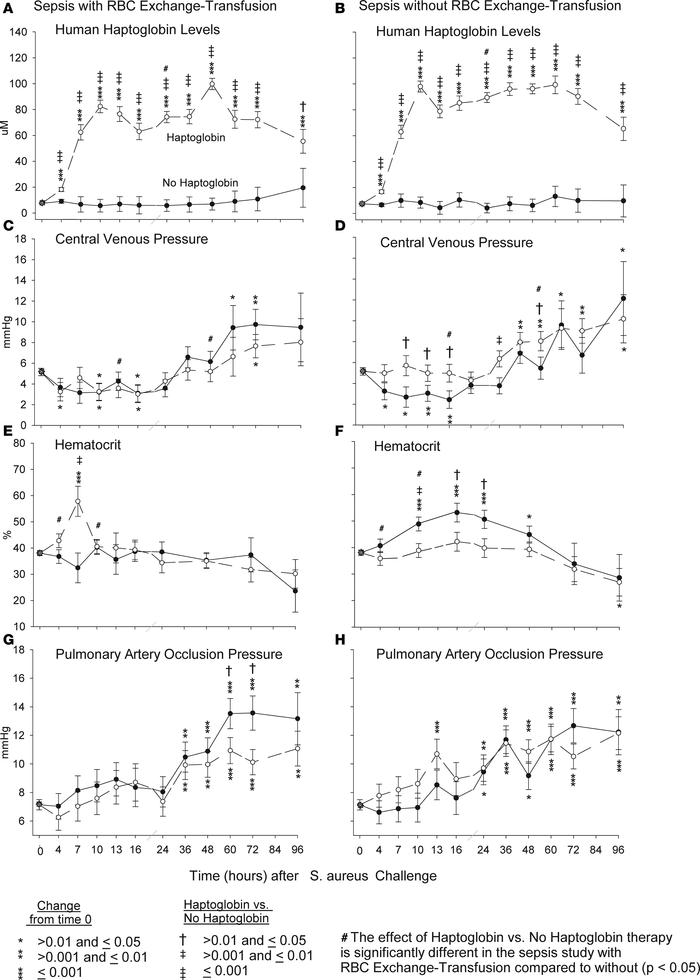
Figure 3

Human haptoglobin, central venous pressure, hematocrit, and pulmonary artery occlusion pressure measurements at serial time points.

Options: View larger image (or click on image) Download as PowerPoint
Human haptoglobin, central venous pressure, hematocrit, and pulmonary ar...
The format is similar to Figure 1, except that human haptoglobin, central venous pressure, hematocrit, and pulmonary artery occlusion pressure are measured over 96 hours after S. aureus challenge in canines receiving haptoglobin or no haptoglobin with (A, C, E, G) or without RBC exchange transfusion (B, D, F, H) Comparisons of all variables (except survival) were made based on contrasts in linear mixed models, which allow us to account for repeated measurements of each animal and the actual pairing of animals within each cycle.

Copyright © 2026 American Society for Clinical Investigation
ISSN 2379-3708

Sign up for email alerts