Go to The Journal of Clinical Investigation
  • About
  • Editors
  • Consulting Editors
  • For authors
  • Publication ethics
  • Publication alerts by email
  • Transfers
  • Advertising
  • Job board
  • Contact
  • Physician-Scientist Development
  • Current issue
  • Past issues
  • By specialty
    • COVID-19
    • Cardiology
    • Immunology
    • Metabolism
    • Nephrology
    • Oncology
    • Pulmonology
    • All ...
  • Videos
  • Collections
    • In-Press Preview
    • Resource and Technical Advances
    • Clinical Research and Public Health
    • Research Letters
    • Editorials
    • Perspectives
    • Physician-Scientist Development
    • Reviews
    • Top read articles

  • Current issue
  • Past issues
  • Specialties
  • In-Press Preview
  • Resource and Technical Advances
  • Clinical Research and Public Health
  • Research Letters
  • Editorials
  • Perspectives
  • Physician-Scientist Development
  • Reviews
  • Top read articles
  • About
  • Editors
  • Consulting Editors
  • For authors
  • Publication ethics
  • Publication alerts by email
  • Transfers
  • Advertising
  • Job board
  • Contact
Effects of iron repletion on brain iron content, myelination, neural network activation, and cognition
Eldad A. Hod, Christian Habeck, Hangwei Zhuang, Alexey Dimov, Pascal Spincemaille, Debra Kessler, Zachary C. Bitan, Yona Feit, Daysha Fliginger, Elizabeth F. Stone, David Roh, Lisa Eisler, Stephen Dashnaw, Elise Caccappolo, Donald J. McMahon, Yaakov Stern, Yi Wang, Steven L. Spitalnik, Gary M. Brittenham
Eldad A. Hod, Christian Habeck, Hangwei Zhuang, Alexey Dimov, Pascal Spincemaille, Debra Kessler, Zachary C. Bitan, Yona Feit, Daysha Fliginger, Elizabeth F. Stone, David Roh, Lisa Eisler, Stephen Dashnaw, Elise Caccappolo, Donald J. McMahon, Yaakov Stern, Yi Wang, Steven L. Spitalnik, Gary M. Brittenham
View: Text | PDF
Clinical Research and Public Health Hematology Neuroscience

Effects of iron repletion on brain iron content, myelination, neural network activation, and cognition

  • Text
  • PDF
Abstract

BACKGROUND Blood donation increases the risk of iron deficiency, but its effect on brain iron, myelination, and neurocognition remains unclear.METHODS This ancillary study enrolled 67 iron-deficient blood donors, 19–73 years of age, participating in a double-blind, randomized trial. After donating blood, positive and negative susceptibility were measured using quantitative susceptibility mapping (QSM) MRI to estimate brain iron and myelin levels, respectively. Furthermore, neurocognitive function was evaluated using the NIH Toolbox, and neural network activation patterns were assessed during neurocognitive tasks using functional MRI (fMRI). Donors were randomized to i.v. iron repletion (1 g iron) or placebo, and outcome measures repeated approximately 4 months later.RESULTS Iron repletion corrected systemic iron deficiency and led to trends toward increased whole brain iron (P = 0.04) and myelination (P = 0.02), with no change in the placebo group. Although overall cognitive performance did not differ significantly between groups, iron-treated participants showed improved engagement of functional neural networks (e.g., memory pattern activation during speed tasks, P < 0.001). Brain region-specific changes in iron and myelin correlated with cognitive performance: iron in the putamen correlated with working memory scores (P < 0.01), and thalamic myelination correlated with attention and inhibitory control (P < 0.01).CONCLUSION Iron repletion in iron-deficient blood donors may influence brain iron, myelination, and function, with region-specific changes in iron and myelination linked to distinct cognitive domains.REGISTRATION ClinicalTrials.gov NCT02990559FUNDING This work was funded by the NIH.

Authors

Eldad A. Hod, Christian Habeck, Hangwei Zhuang, Alexey Dimov, Pascal Spincemaille, Debra Kessler, Zachary C. Bitan, Yona Feit, Daysha Fliginger, Elizabeth F. Stone, David Roh, Lisa Eisler, Stephen Dashnaw, Elise Caccappolo, Donald J. McMahon, Yaakov Stern, Yi Wang, Steven L. Spitalnik, Gary M. Brittenham

×

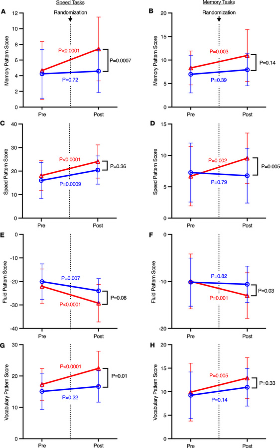
Figure 2

Mean spatial covariance pattern scores on speed and memory tasks performed during fMRI before and after randomization.

Options: View larger image (or click on image) Download as PowerPoint
Mean spatial covariance pattern scores on speed and memory tasks perform...
Mean spatial covariance pattern scores for 4 prespecified reference ability neural networks (RANNs) during performance of speed and memory tasks in fMRI testing are shown by treatment group from before and after randomization. These pattern scores reflect the similarity of each participant’s fMRI activation pattern while performing either speed or memory tasks (left and right column, respectively) to validated RANNs associated with specific cognitive domains (i.e., memory, speed, fluid, and vocabulary; in rows, as labeled). Data are shown as mean ± SD. Placebo in blue and iron repletion group in red with colored P value representing the adjusted P value from a Šídák’s multiple-comparison test of the within group difference from before to after randomization score in a mixed model analysis. P value in black represents the significance of the mixed model interaction term between treatment group and time point. Additional fixed effects include the interaction between sex and age. The subject intercept was included in the model as a random effect. An unstructured covariance matrix was used to model the within-subject variance-covariance errors. (A–H) Mean RANN pattern scores for memory (A and B), speed (C and D), fluid cognition (E and F), vocabulary (G and H) are shown for the 3 tests of processing speed (left) and memory (right).

Copyright © 2026 American Society for Clinical Investigation
ISSN 2379-3708

Sign up for email alerts