Go to The Journal of Clinical Investigation
  • About
  • Editors
  • Consulting Editors
  • For authors
  • Publication ethics
  • Publication alerts by email
  • Transfers
  • Advertising
  • Job board
  • Contact
  • Physician-Scientist Development
  • Current issue
  • Past issues
  • By specialty
    • COVID-19
    • Cardiology
    • Immunology
    • Metabolism
    • Nephrology
    • Oncology
    • Pulmonology
    • All ...
  • Videos
  • Collections
    • In-Press Preview
    • Resource and Technical Advances
    • Clinical Research and Public Health
    • Research Letters
    • Editorials
    • Perspectives
    • Physician-Scientist Development
    • Reviews
    • Top read articles

  • Current issue
  • Past issues
  • Specialties
  • In-Press Preview
  • Resource and Technical Advances
  • Clinical Research and Public Health
  • Research Letters
  • Editorials
  • Perspectives
  • Physician-Scientist Development
  • Reviews
  • Top read articles
  • About
  • Editors
  • Consulting Editors
  • For authors
  • Publication ethics
  • Publication alerts by email
  • Transfers
  • Advertising
  • Job board
  • Contact
Cytomegalovirus immunity in high-risk liver transplant recipients following preemptive antiviral therapy versus prophylaxis
Danniel Zamora, Sayan Dasgupta, Terry Stevens-Ayers, Bradley Edmison, Drew J. Winston, Raymund R. Razonable, Aneesh K. Mehta, G. Marshall Lyon, Michael Boeckh, Nina Singh, David M. Koelle, Ajit P. Limaye
Danniel Zamora, Sayan Dasgupta, Terry Stevens-Ayers, Bradley Edmison, Drew J. Winston, Raymund R. Razonable, Aneesh K. Mehta, G. Marshall Lyon, Michael Boeckh, Nina Singh, David M. Koelle, Ajit P. Limaye
View: Text | PDF
Research Article Infectious disease Transplantation

Cytomegalovirus immunity in high-risk liver transplant recipients following preemptive antiviral therapy versus prophylaxis

  • Text
  • PDF
Abstract

CMV-specific T cells, NK cells, and neutralizing antibodies (nAbs) were assessed in a randomized trial of CMV prevention with preemptive antiviral therapy (PET) versus prophylactic antiviral therapy (PRO) in donor-seropositive/recipient-seronegative (D+R–) liver transplant recipients (LTxR) at 100 days (end of intervention) and at 6 and 12 months after transplant. The PET group had significantly increased numbers of circulating polyfunctional T cells, NK cells, and nAbs compared with the PRO group at day 100, and several CMV immune parameters remained significantly higher by 12 months after transplant. Among PET recipients, preceding CMV viremia (vs. no preceding viremia) was associated with significantly higher levels of most CMV immune parameters at day 100. Higher numbers of CMV-specific polyfunctional T cells and NKG2C+ NK cells at day 100 were associated with a decreased incidence of CMV disease in multivariable Cox regression. The strongest associations with protection against CMV disease were with increased numbers of CMV-specific polyfunctional CD4+ T cells, CD3negCD56dimCD57negNKG2Cpos cells, and CD3negCD56dimCD57posNKG2Cpos NK cells. Our results suggest that PET is superior to PRO for CMV disease prevention by allowing low-level CMV replication and associated antigen exposure that is promptly controlled by antiviral therapy and facilitates enhanced CMV protective immunity in D+R– LTxR.

Authors

Danniel Zamora, Sayan Dasgupta, Terry Stevens-Ayers, Bradley Edmison, Drew J. Winston, Raymund R. Razonable, Aneesh K. Mehta, G. Marshall Lyon, Michael Boeckh, Nina Singh, David M. Koelle, Ajit P. Limaye

×

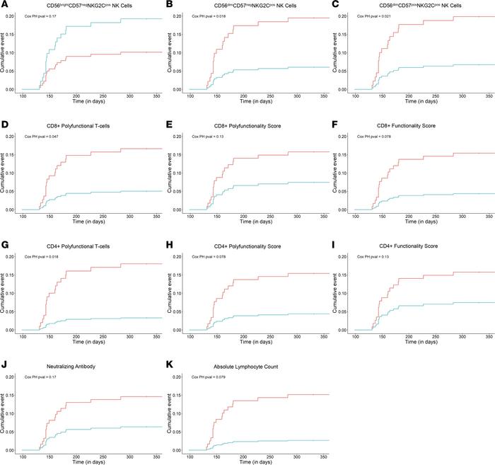
Figure 7

Cumulative incidence of late CMV disease after high-risk, CMV D+R– liver transplant stratified by baseline CMV-specific NK cell and T cell immunity.

Options: View larger image (or click on image) Download as PowerPoint
Cumulative incidence of late CMV disease after high-risk, CMV D+R– liver...
The cumulative incidence of endpoint-adjudicated late CMV disease after high-risk, CMV D+R– liver transplant stratified by baseline CMV-specific T cell immunity measured following discontinuation of study intervention after transplant day 100. Time-to-event curves were stratified by the dichotomous threshold cutoffs listed in Table 2 for (A) CD3negCD56brightCD57posNKG2Cpos, (B) CD3negCD56dimCD57negNKG2Cpos, (C) CD3negCD56dimCD57posNKG2Cpos NK Cells, (D) polyfunctional absolute CD8+ T cell counts, (E) CD8 polyfunctionality scores, (F) CD8 functionality scores, (G) polyfunctional absolute CD4+ T cell counts, (H) CD4 polyfunctionality scores, (I) CD4 functionality scores, (J) neutralizing antibodies, and (K) absolute lymphocyte count. Patients with above-threshold levels of immune parameters (blue curves) were compared with patients with below-threshold levels of immune parameters (red curves).

Copyright © 2026 American Society for Clinical Investigation
ISSN 2379-3708

Sign up for email alerts