Go to The Journal of Clinical Investigation
  • About
  • Editors
  • Consulting Editors
  • For authors
  • Publication ethics
  • Publication alerts by email
  • Transfers
  • Advertising
  • Job board
  • Contact
  • Physician-Scientist Development
  • Current issue
  • Past issues
  • By specialty
    • COVID-19
    • Cardiology
    • Immunology
    • Metabolism
    • Nephrology
    • Oncology
    • Pulmonology
    • All ...
  • Videos
  • Collections
    • In-Press Preview
    • Resource and Technical Advances
    • Clinical Research and Public Health
    • Research Letters
    • Editorials
    • Perspectives
    • Physician-Scientist Development
    • Reviews
    • Top read articles

  • Current issue
  • Past issues
  • Specialties
  • In-Press Preview
  • Resource and Technical Advances
  • Clinical Research and Public Health
  • Research Letters
  • Editorials
  • Perspectives
  • Physician-Scientist Development
  • Reviews
  • Top read articles
  • About
  • Editors
  • Consulting Editors
  • For authors
  • Publication ethics
  • Publication alerts by email
  • Transfers
  • Advertising
  • Job board
  • Contact
The longevity gene mIndy (I’m Not Dead, Yet) affects blood pressure through sympathoadrenal mechanisms
Diana M. Willmes, Martin Daniels, Anica Kurzbach, Stefanie Lieske, Nicole Bechmann, Tina Schumann, Christine Henke, Nermeen N. El-Agroudy, Andrey C. Da Costa Goncalves, Mirko Peitzsch, Anja Hofmann, Waldemar Kanczkowski, Kristin Kräker, Dominik N. Müller, Henning Morawietz, Andreas Deussen, Michael Wagner, Ali El-Armouche, Stephen L. Helfand, Stephan R. Bornstein, Rafael de Cabo, Michel Bernier, Graeme Eisenhofer, Jens Tank, Jens Jordan, Andreas L. Birkenfeld
Diana M. Willmes, Martin Daniels, Anica Kurzbach, Stefanie Lieske, Nicole Bechmann, Tina Schumann, Christine Henke, Nermeen N. El-Agroudy, Andrey C. Da Costa Goncalves, Mirko Peitzsch, Anja Hofmann, Waldemar Kanczkowski, Kristin Kräker, Dominik N. Müller, Henning Morawietz, Andreas Deussen, Michael Wagner, Ali El-Armouche, Stephen L. Helfand, Stephan R. Bornstein, Rafael de Cabo, Michel Bernier, Graeme Eisenhofer, Jens Tank, Jens Jordan, Andreas L. Birkenfeld
View: Text | PDF
Research Article Metabolism Vascular biology

The longevity gene mIndy (I’m Not Dead, Yet) affects blood pressure through sympathoadrenal mechanisms

  • Text
  • PDF
Abstract

Reduced expression of the plasma membrane citrate transporter INDY (acronym I’m Not Dead, Yet) extends life span in lower organisms. Deletion of the mammalian Indy (mIndy) gene in rodents improves metabolism via mechanisms akin to caloric restriction, known to lower blood pressure (BP) by sympathoadrenal inhibition. We hypothesized that mIndy deletion attenuates sympathoadrenal support of BP. Continuous arterial BP and heart rate (HR) were reduced in mINDY-KO mice. Concomitantly, urinary catecholamine content was lower, and the decreases in BP and HR by mIndy deletion were attenuated after autonomic ganglionic blockade. Catecholamine biosynthesis pathways were reduced in mINDY-KO adrenals using unbiased microarray analysis. Citrate, the main mINDY substrate, increased catecholamine content in pheochromocytoma cells, while pharmacological inhibition of citrate uptake blunted the effect. Our data suggest that deletion of mIndy reduces sympathoadrenal support of BP and HR by attenuating catecholamine biosynthesis. Deletion of mIndy recapitulates beneficial cardiovascular and metabolic responses to caloric restriction, making it an attractive therapeutic target.

Authors

Diana M. Willmes, Martin Daniels, Anica Kurzbach, Stefanie Lieske, Nicole Bechmann, Tina Schumann, Christine Henke, Nermeen N. El-Agroudy, Andrey C. Da Costa Goncalves, Mirko Peitzsch, Anja Hofmann, Waldemar Kanczkowski, Kristin Kräker, Dominik N. Müller, Henning Morawietz, Andreas Deussen, Michael Wagner, Ali El-Armouche, Stephen L. Helfand, Stephan R. Bornstein, Rafael de Cabo, Michel Bernier, Graeme Eisenhofer, Jens Tank, Jens Jordan, Andreas L. Birkenfeld

×

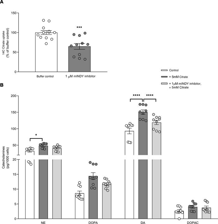
Figure 6

Citrate stimulation and mINDY transport inhibition affect catecholamine biosynthesis in adrenal MPC cells.

Options: View larger image (or click on image) Download as PowerPoint
Citrate stimulation and mINDY transport inhibition affect catecholamine ...
(A) 14C-Citrate uptake in the pheochromocytoma cell line MPC treated for 30 minutes with and without 1 μM of the mINDY inhibitor, PF-06761281. (B) MPCs were treated with 5 mM sodium citrate or 1 μM PF-06761281, alone or combined, for 72 hours. Lysates were prepared for the determination of NE, 3,4-dihydroxyphenylalanine (DOPA), dopamine (DA), and 3,4-dihydroxyphenylacetic acid (DOPAC) levels. Significance level was determined by a 2-tailed Student’s t test in A (***P < 0.001). A 2-way ANOVA was performed in B to determine significance level between groups (*P < 0.05; ****P < 0.001). Data represent the mean ± SEM.

Copyright © 2026 American Society for Clinical Investigation
ISSN 2379-3708

Sign up for email alerts