Go to The Journal of Clinical Investigation
  • About
  • Editors
  • Consulting Editors
  • For authors
  • Publication ethics
  • Publication alerts by email
  • Transfers
  • Advertising
  • Job board
  • Contact
  • Physician-Scientist Development
  • Current issue
  • Past issues
  • By specialty
    • COVID-19
    • Cardiology
    • Immunology
    • Metabolism
    • Nephrology
    • Oncology
    • Pulmonology
    • All ...
  • Videos
  • Collections
    • In-Press Preview
    • Resource and Technical Advances
    • Clinical Research and Public Health
    • Research Letters
    • Editorials
    • Perspectives
    • Physician-Scientist Development
    • Reviews
    • Top read articles

  • Current issue
  • Past issues
  • Specialties
  • In-Press Preview
  • Resource and Technical Advances
  • Clinical Research and Public Health
  • Research Letters
  • Editorials
  • Perspectives
  • Physician-Scientist Development
  • Reviews
  • Top read articles
  • About
  • Editors
  • Consulting Editors
  • For authors
  • Publication ethics
  • Publication alerts by email
  • Transfers
  • Advertising
  • Job board
  • Contact
Twelve-year survival and immune correlates in dendritic cell–vaccinated melanoma patients
Stefanie Gross, Michael Erdmann, Ina Haendle, Steve Voland, Thomas Berger, Erwin Schultz, Erwin Strasser, Peter Dankerl, Rolf Janka, Stefan Schliep, Lucie Heinzerling, Karl Sotlar, Pierre Coulie, Gerold Schuler, Beatrice Schuler-Thurner
Stefanie Gross, Michael Erdmann, Ina Haendle, Steve Voland, Thomas Berger, Erwin Schultz, Erwin Strasser, Peter Dankerl, Rolf Janka, Stefan Schliep, Lucie Heinzerling, Karl Sotlar, Pierre Coulie, Gerold Schuler, Beatrice Schuler-Thurner
View: Text | PDF
Clinical Research and Public Health Clinical trials Vaccines

Twelve-year survival and immune correlates in dendritic cell–vaccinated melanoma patients

  • Text
  • PDF
Abstract

Background. Reports on long-term (≥10 years) effects of cancer vaccines are missing. Therefore, in 2002, we initiated a phase I/II trial in cutaneous melanoma patients to further explore the immunogenicity of our DC vaccine and to establish its long-term toxicity and clinical benefit after a planned 10-year followup.

Methods. Monocyte-derived DCs matured by TNFα, IL-1β, IL-6, and PGE2 and then loaded with 4 HLA class I and 6 class II–restricted tumor peptides were injected intradermally in high doses over 2 years. We performed serial immunomonitoring in all 53 evaluable patients.

Results. Vaccine-specific immune responses including high-affinity, IFNγ-producing CD4+ and lytic polyfunctional CD8+ T cells were de novo induced or boosted in most patients. Exposure of mature DCs to trimeric soluble CD40 ligand, unexpectedly, did not further enhance such immune responses, while keyhole limpet hemocyanin (KLH) pulsing to provide unspecific CD4+ help promoted CD8+ T cell responses — notably, their longevity. An unexpected 19% of nonresectable metastatic melanoma patients are still alive after 11 years, a survival rate similar to that observed in ipilimumab-treated patients and achieved without any major (>grade 2) toxicity. Survival correlated significantly with the development of intense vaccine injection site reactions, and with blood eosinophilia after the first series of vaccinations, suggesting that prolonged survival was a consequence of DC vaccination.

Conclusions. Long-term survival in advanced melanoma patients undergoing DC vaccination is similar to ipilimumab-treated patients and occurs upon induction of tumor-specific T cells, blood eosinophilia, and strong vaccine injection site reactions occurring after the initial vaccinations.

TRIAL REGISTRATION. ClinicalTrials.gov NCT00053391.

FUNDING. European Community, Sixth Framework Programme (Cancerimmunotherapy LSHC-CT-2006-518234; DC-THERA LSHB-CT-2004-512074), and German Research Foundation (CRC 643, C1, Z2).

Authors

Stefanie Gross, Michael Erdmann, Ina Haendle, Steve Voland, Thomas Berger, Erwin Schultz, Erwin Strasser, Peter Dankerl, Rolf Janka, Stefan Schliep, Lucie Heinzerling, Karl Sotlar, Pierre Coulie, Gerold Schuler, Beatrice Schuler-Thurner

×

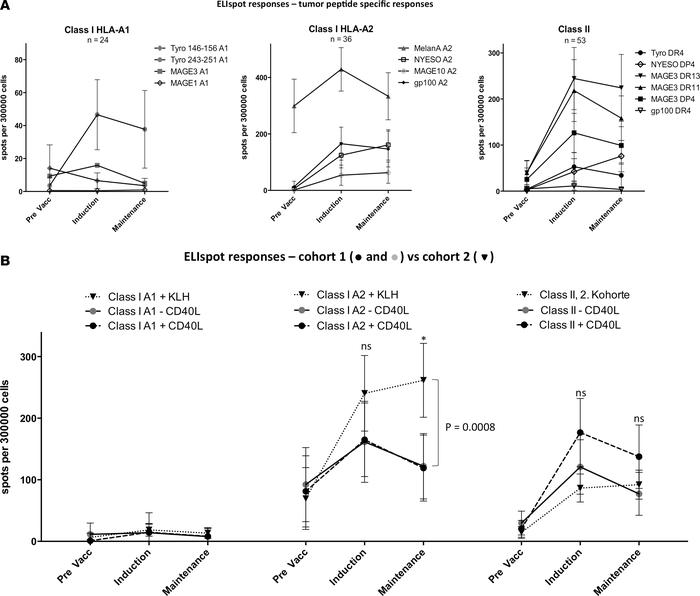
Figure 2

Overview of immune responses.

Options: View larger image (or click on image) Download as PowerPoint
Overview of immune responses.
Immune responses of all patients to vaccin...
Immune responses of all patients to vaccine peptides before and during induction and maintenance phase of DC vaccination as measured by in vitro–stimulated IFNγ ELIspot are shown. Data from several time points are combined (1 or 2 before and 2–6 time points for induction and maintenance phase, respectively). Plots show the means with whiskers approximating the 95% CI. (A) Cumulated responses of all patients to the different tumor peptides used. (B) Immune responses in each cohort combined for HLA-A1–, HLA-A2–, and the class II–restricted vaccine peptides. For comparison of KLH-DC– and CD40L-DC–induced responses, an unpaired 2-tailed t test with the assumption of inconsistent SD among samples and a false discovery rate approach of 1% was used.

Copyright © 2026 American Society for Clinical Investigation
ISSN 2379-3708

Sign up for email alerts