Go to The Journal of Clinical Investigation
  • About
  • Editors
  • Consulting Editors
  • For authors
  • Publication ethics
  • Publication alerts by email
  • Transfers
  • Advertising
  • Job board
  • Contact
  • Physician-Scientist Development
  • Current issue
  • Past issues
  • By specialty
    • COVID-19
    • Cardiology
    • Immunology
    • Metabolism
    • Nephrology
    • Oncology
    • Pulmonology
    • All ...
  • Videos
  • Collections
    • In-Press Preview
    • Resource and Technical Advances
    • Clinical Research and Public Health
    • Research Letters
    • Editorials
    • Perspectives
    • Physician-Scientist Development
    • Reviews
    • Top read articles

  • Current issue
  • Past issues
  • Specialties
  • In-Press Preview
  • Resource and Technical Advances
  • Clinical Research and Public Health
  • Research Letters
  • Editorials
  • Perspectives
  • Physician-Scientist Development
  • Reviews
  • Top read articles
  • About
  • Editors
  • Consulting Editors
  • For authors
  • Publication ethics
  • Publication alerts by email
  • Transfers
  • Advertising
  • Job board
  • Contact
Levels of circulating kidney injury markers and IL-10 identify non-critically ill patients with COVID-19 at risk of death
Olivia Lenoir, et al.
Olivia Lenoir, et al.
View: Text | PDF
Clinical Research and Public Health Infectious disease Nephrology Pulmonology

Levels of circulating kidney injury markers and IL-10 identify non-critically ill patients with COVID-19 at risk of death

  • Text
  • PDF
Abstract

BACKGROUND After identifying 2 immunomarkers of acute injury, KIM-1 and LCN2, in all kidney biopsies from 31 patients with COVID-19 pneumonia and de novo kidney dysfunction, we investigated whether circulating markers of kidney epithelial injury are common in patients with laboratory-confirmed COVID-19 who require oxygen support but do not have critical illness.METHODS We studied 196 patients admitted to 15 hospitals with moderate to severe pneumonia who were enrolled in 2 independent randomized clinical trials. We measured 41 immune mediators and markers of kidney and endothelial injury in peripheral blood in these patients within 24 hours of randomization.RESULTS We constructed a generalized linear CORIMUNO model combining serum levels of KIM-1, LCN2, IL-10, and age at hospital admission that showed high discrimination for mortality (derivation cohort: AUC = 0.82, 95% CI: 0.73–0.92; validation cohort: AUC = 0.83, 95% CI: 0.74–0.92). An early rise in circulating kidney injury markers, in the absence of acute kidney injury criteria, was markedly associated with the risk of developing a severe form of COVID-19 and death within 3 months.CONCLUSION The CORIMUNO score may be a helpful tool for risk stratification, and for the first time to our knowledge, it identifies the overlooked impact of subclinical kidney injury on pneumonia outcomes.TRIAL REGISTRATION ClinicalTrials.gov NCT04324047, NCT04324073, and NCT04331808.FUNDING This research was funded by the French Ministry of Health, Programme Hospitalier de Recherche Clinique (PHRC COVID-19–20–0151, PHRC COVID-19–20–0029), Fondation de l’Assistance Publique Hôpitaux de Paris (Alliance Tous Unis Contre le Virus), Assistance Publique Hôpitaux de Paris, and grants from the Fondation pour la Recherche Médicale (FRM) (REA202010012514) and Agence Nationale de Recherches sur le Sida and emerging infectious diseases (ANRS) (ANRS0147) from the VINTED sponsorship.

Authors

Olivia Lenoir, Florence Morin, Anouk Walter-Petrich, Léa Resmini, Mohamad Zaidan, Nassim Mahtal, Sophie Ferlicot, Victor G. Puelles, Nicola Wanner, Julien Dang, Thibaut d’Izarny-Gargas, Jana Biermann, Benjamin Izar, Stéphanie Baron, Benjamin Terrier, Ziad A. Massy, Marie Essig, Aymeric Couturier, Olivia May, Xavier Belenfant, David Buob, Isabelle Brocheriou, Hassan Izzedine, Yannis Lombardi, Hélène François, Anissa Moktefi, Vincent Audard, Aurélie Sannier, Eric Daugas, Matthieu Jamme, Guylaine Henry, Isabelle Le Monnier de Gouville, Catherine Marie, Laurence Homyrda, Céline Verstuyft, Sarah Tubiana, Ouifiya Kafif, Valentine Piquard, Maxime Dougados, Tobias B. Huber, Marine Livrozet, Jean-Sébastien Hulot, Cedric Laouénan, Jade Ghosn, France Mentré, Alexandre Karras, Yazdan Yazdanpanah, Raphaël Porcher, Philippe Ravaud, Sophie Caillat-Zucman, Xavier Mariette, Olivier Hermine, Matthieu Resche-Rigon, Pierre-Louis Tharaux, CORIMUNO-19 collaborative group

×

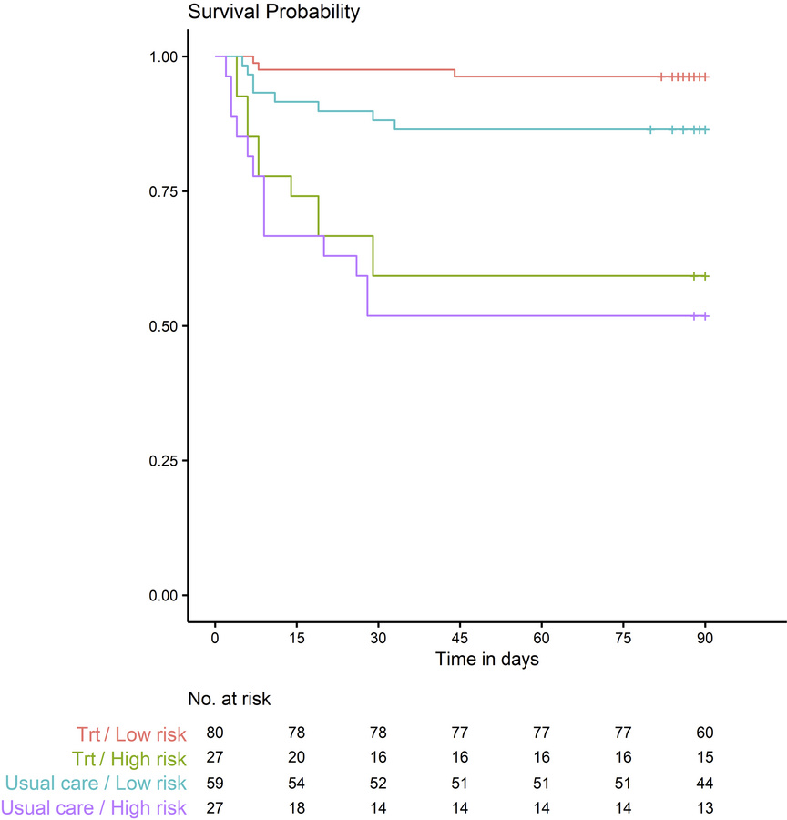
Figure 7

Options: View larger image (or click on image) Download as PowerPoint
Kaplan-Meier survival curves of patients with COVID-19 stratified into l...
Kaplan-Meier survival curves of patients with COVID-19 stratified into low- and high-risk groups in the anti–IL-6R Ab treatment arms (Trt) and the usual care arms.

Copyright © 2026 American Society for Clinical Investigation
ISSN 2379-3708

Sign up for email alerts