Go to The Journal of Clinical Investigation
  • About
  • Editors
  • Consulting Editors
  • For authors
  • Publication ethics
  • Publication alerts by email
  • Transfers
  • Advertising
  • Job board
  • Contact
  • Physician-Scientist Development
  • Current issue
  • Past issues
  • By specialty
    • COVID-19
    • Cardiology
    • Immunology
    • Metabolism
    • Nephrology
    • Oncology
    • Pulmonology
    • All ...
  • Videos
  • Collections
    • In-Press Preview
    • Resource and Technical Advances
    • Clinical Research and Public Health
    • Research Letters
    • Editorials
    • Perspectives
    • Physician-Scientist Development
    • Reviews
    • Top read articles

  • Current issue
  • Past issues
  • Specialties
  • In-Press Preview
  • Resource and Technical Advances
  • Clinical Research and Public Health
  • Research Letters
  • Editorials
  • Perspectives
  • Physician-Scientist Development
  • Reviews
  • Top read articles
  • About
  • Editors
  • Consulting Editors
  • For authors
  • Publication ethics
  • Publication alerts by email
  • Transfers
  • Advertising
  • Job board
  • Contact
Development and evaluation of a symposium model for building physician-scientist skills, connections, and persistence
Kevin F. Dowling, … , Kathleen Prigg, Richard A. Steinman
Kevin F. Dowling, … , Kathleen Prigg, Richard A. Steinman
Published May 13, 2025
Citation Information: JCI Insight. 2025;10(12):e191555. https://doi.org/10.1172/jci.insight.191555.
View: Text | PDF
Physician-Scientist Development

Development and evaluation of a symposium model for building physician-scientist skills, connections, and persistence

  • Text
  • PDF
Abstract

High rates of physician-scientist attrition from the investigative workforce remain a significant problem despite the development of dedicated programs and initiatives designed to address the unique challenges faced by physician-scientists. However, many of these efforts are restricted to single career stages of physician-scientist training or to a single medical specialty, which may limit opportunities for beneficial vertical and horizontal mentorship regarding overcoming common career obstacles. Here, we outline the development of a physician-scientist symposium to break down silos and enable productive interactions between physician-scientists across career/training stages, academic and scientific disciplines, and medical specialties. Participants were (a) mixed in small-group problem-based discussions, (b) participated in a cross-specialty keynote panel on overcoming barriers in a physician-scientist career, and (c) took part in skill-building workshops. Attendees indicated that they fostered new connections, developed new skills to overcome career challenges, and increased their commitment to persevering in a career as a physician-scientist. Positive evaluations were not dependent on attendee career/training stage or gender. We suggest these elements of the symposium curriculum may be easily adapted for inclusion in a wide variety of physician-scientist training formats.

Authors

Kevin F. Dowling, Shohini K. Ghosh-Choudhary, Neil Carleton, Kathleen Prigg, Richard A. Steinman

×

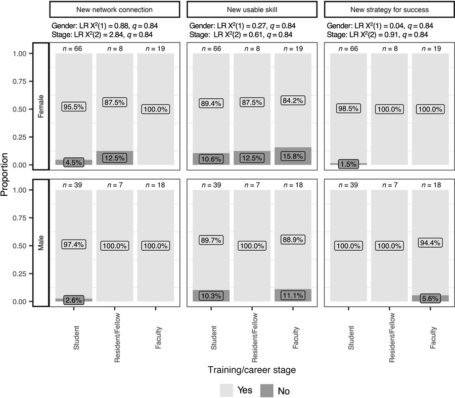
Figure 3

Perceived utility of symposium with respect to networking, skill building, and strategic planning.

Options: View larger image (or click on image) Download as PowerPoint
Perceived utility of symposium with respect to networking, skill buildin...
Perceived utility was evaluated as a binary outcome (yes/no). The survey items corresponding to the headers in the figure were as follows: New network connection, “the symposium introduced me to another person who could be a resource for me”; New usable skill, “the symposium provided me with at least one usable skill”; and New strategy for success, “the symposium provided me with at least one strategy that would support my success as a physician scientist.” Results are reported as the proportion of individuals responding “yes” or “no” (y axis) in each training or career stage category (Stage, x axis, subcolumns) and in each major category of self-identified gender (Gender, rows). Likelihood ratio (LR) χ2 test statistics and q values for each predictor in logistic regression analyses are listed for the dependent variable in each column. For each subcolumn, proportions reported as percentages are provided as inset labels for each response.

Copyright © 2025 American Society for Clinical Investigation
ISSN 2379-3708

Sign up for email alerts