Go to The Journal of Clinical Investigation
  • About
  • Editors
  • Consulting Editors
  • For authors
  • Publication ethics
  • Publication alerts by email
  • Transfers
  • Advertising
  • Job board
  • Contact
  • Physician-Scientist Development
  • Current issue
  • Past issues
  • By specialty
    • COVID-19
    • Cardiology
    • Immunology
    • Metabolism
    • Nephrology
    • Oncology
    • Pulmonology
    • All ...
  • Videos
  • Collections
    • In-Press Preview
    • Resource and Technical Advances
    • Clinical Research and Public Health
    • Research Letters
    • Editorials
    • Perspectives
    • Physician-Scientist Development
    • Reviews
    • Top read articles

  • Current issue
  • Past issues
  • Specialties
  • In-Press Preview
  • Resource and Technical Advances
  • Clinical Research and Public Health
  • Research Letters
  • Editorials
  • Perspectives
  • Physician-Scientist Development
  • Reviews
  • Top read articles
  • About
  • Editors
  • Consulting Editors
  • For authors
  • Publication ethics
  • Publication alerts by email
  • Transfers
  • Advertising
  • Job board
  • Contact
Deep neural network analyses of spirometry for structural phenotyping of chronic obstructive pulmonary disease
Sandeep Bodduluri, Arie Nakhmani, Joseph M. Reinhardt, Carla G. Wilson, Merry-Lynn McDonald, Ramaraju Rudraraju, Byron C. Jaeger, Nirav R. Bhakta, Peter J. Castaldi, Frank C. Sciurba, Chengcui Zhang, Purushotham V. Bangalore, Surya P. Bhatt
Sandeep Bodduluri, Arie Nakhmani, Joseph M. Reinhardt, Carla G. Wilson, Merry-Lynn McDonald, Ramaraju Rudraraju, Byron C. Jaeger, Nirav R. Bhakta, Peter J. Castaldi, Frank C. Sciurba, Chengcui Zhang, Purushotham V. Bangalore, Surya P. Bhatt
View: Text | PDF
Clinical Research and Public Health Pulmonology

Deep neural network analyses of spirometry for structural phenotyping of chronic obstructive pulmonary disease

  • Text
  • PDF
Abstract

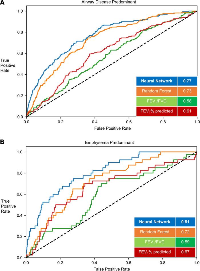
BACKGROUND Currently recommended traditional spirometry outputs do not reflect the relative contributions of emphysema and airway disease to airflow obstruction. We hypothesized that machine-learning algorithms can be trained on spirometry data to identify these structural phenotypes.METHODS Participants enrolled in a large multicenter study (COPDGene) were included. The data points from expiratory flow-volume curves were trained using a deep-learning model to predict structural phenotypes of chronic obstructive pulmonary disease (COPD) on CT, and results were compared with traditional spirometry metrics and an optimized random forest classifier. Area under the receiver operating characteristic curve (AUC) and weighted F-score were used to measure the discriminative accuracy of a fully convolutional neural network, random forest, and traditional spirometry metrics to phenotype CT as normal, emphysema-predominant (>5% emphysema), airway-predominant (Pi10 > median), and mixed phenotypes. Similar comparisons were made for the detection of functional small airway disease phenotype (>20% on parametric response mapping).RESULTS Among 8980 individuals, the neural network was more accurate in discriminating predominant emphysema/airway phenotypes (AUC 0.80, 95%CI 0.79–0.81) compared with traditional measures of spirometry, FEV1/FVC (AUC 0.71, 95%CI 0.69–0.71), FEV1% predicted (AUC 0.70, 95%CI 0.68–0.71), and random forest classifier (AUC 0.78, 95%CI 0.77–0.79). The neural network was also more accurate in discriminating predominant emphysema/small airway phenotypes (AUC 0.91, 95%CI 0.90–0.92) compared with FEV1/FVC (AUC 0.80, 95%CI 0.78–0.82), FEV1% predicted (AUC 0.83, 95%CI 0.80–0.84), and with comparable accuracy with random forest classifier (AUC 0.90, 95%CI 0.88–0.91).CONCLUSIONS Structural phenotypes of COPD can be identified from spirometry using deep-learning and machine-learning approaches, demonstrating their potential to identify individuals for targeted therapies.TRIAL REGISTRATION ClinicalTrials.gov NCT00608764.FUNDING This study was supported by NIH grants K23 HL133438 and R21EB027891 and an American Thoracic Foundation 2018 Unrestricted Research Grant. The COPDGene study is supported by NIH grants NHLBI U01 HL089897 and U01 HL089856. The COPDGene study (NCT00608764) is also supported by the COPD Foundation through contributions made to an Industry Advisory Committee comprising AstraZeneca, Boehringer-Ingelheim, GlaxoSmithKline, Novartis, and Sunovion.

Authors

Sandeep Bodduluri, Arie Nakhmani, Joseph M. Reinhardt, Carla G. Wilson, Merry-Lynn McDonald, Ramaraju Rudraraju, Byron C. Jaeger, Nirav R. Bhakta, Peter J. Castaldi, Frank C. Sciurba, Chengcui Zhang, Purushotham V. Bangalore, Surya P. Bhatt

×

Figure 5

Classification of structural phenotypes — emphysema and small airway disease.

Options: View larger image (or click on image) Download as PowerPoint
Classification of structural phenotypes — emphysema and small airway dis...
Classification performance of airway disease predominant (A) (emphysema <5% and small airway disease >20%) and emphysema predominant (B) (emphysema >5% and small airway disease <20%) groups. The results show per-class area under the curve (AUC) of the FCN model versus random forest classifier and logistic regression models with FEV1/FVC and FEV1% predicted measurements. Results shown for the hold-out test data set. FEV1, forced expiratory volume in the first second; FVC, forced vital capacity; FCN, fully convolutional network. Small airway disease was defined by parametric response mapping.

Copyright © 2026 American Society for Clinical Investigation
ISSN 2379-3708

Sign up for email alerts