Go to The Journal of Clinical Investigation
  • About
  • Editors
  • Consulting Editors
  • For authors
  • Publication ethics
  • Publication alerts by email
  • Transfers
  • Advertising
  • Job board
  • Contact
  • Physician-Scientist Development
  • Current issue
  • Past issues
  • By specialty
    • COVID-19
    • Cardiology
    • Immunology
    • Metabolism
    • Nephrology
    • Oncology
    • Pulmonology
    • All ...
  • Videos
  • Collections
    • In-Press Preview
    • Resource and Technical Advances
    • Clinical Research and Public Health
    • Research Letters
    • Editorials
    • Perspectives
    • Physician-Scientist Development
    • Reviews
    • Top read articles

  • Current issue
  • Past issues
  • Specialties
  • In-Press Preview
  • Resource and Technical Advances
  • Clinical Research and Public Health
  • Research Letters
  • Editorials
  • Perspectives
  • Physician-Scientist Development
  • Reviews
  • Top read articles
  • About
  • Editors
  • Consulting Editors
  • For authors
  • Publication ethics
  • Publication alerts by email
  • Transfers
  • Advertising
  • Job board
  • Contact
Annual PM2.5 exposure and clinical, laboratory, and stroke-risk outcomes in pediatric sickle cell disease
Paul E. George, … , Wilbur A. Lam, Stefanie Ebelt
Paul E. George, … , Wilbur A. Lam, Stefanie Ebelt
Published June 9, 2025
Citation Information: JCI Insight. 2025;10(11):e190648. https://doi.org/10.1172/jci.insight.190648.
View: Text | PDF
Clinical Research and Public Health Clinical Research Hematology

Annual PM2.5 exposure and clinical, laboratory, and stroke-risk outcomes in pediatric sickle cell disease

  • Text
  • PDF
Abstract

Sickle cell disease (SCD) causes severe morbidity and early mortality, yet it varies phenotypically. Both air pollution and SCD affect the cardiorespiratory, inflammatory, and endothelial systems; however, limited evidence exists on the effect of long-term air pollution exposure in SCD. We hypothesized that annual ambient (outdoor) concentrations of fine particulate matter (PM2.5), particles with a diameter of 2.5 μm or less, at a child’s home would be significantly associated with worse clinical, laboratory, and stroke-risk imaging outcomes. Patient data for this retrospective study were obtained from a cohort of children with SCD (from 2010 to 2019). Annual PM2.5 exposure was estimated using remote-sensing air pollution datasets. Statistical analyses employed fixed effects multivariable models, offering a robust approach to isolate the effect of PM2.5 exposure. The final cohort included 1,089 children with SCD. Higher annual PM2.5 concentrations were significantly associated with more annual hospital days, higher likelihood of hospitalization and abnormal stroke-risk screening, and elevated inflammatory markers. Of note, hydroxyurea use mitigated the inflammatory response to PM2.5 but did not mitigate the effect of PM2.5 on clinical outcomes. Importantly, the elevated stroke risk associated with PM2.5 exposure persisted, even among children receiving hydroxyurea therapy, highlighting a critical concern in pediatric SCD management. These results underscore the clinical importance of addressing environmental factors for comprehensive SCD care.

Authors

Paul E. George, Grace Kalmus, Joseph Lipscomb, David H. Howard, Benjamin Kopp, Wilbur A. Lam, Stefanie Ebelt

×

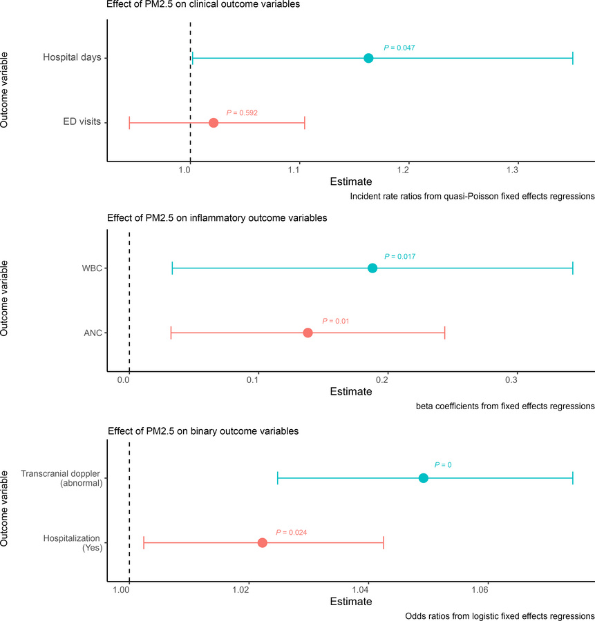
Figure 1

Results of primary models, demonstrating the significant effect of PM2.5 on hospital days, inflammatory markers, and abnormal stroke risk screening.

Options: View larger image (or click on image) Download as PowerPoint
Results of primary models, demonstrating the significant effect of PM2.5...
This figure shows the main results from the primary models. Each estimate and 95% CI shown comes from a separate model, whose dependent (outcome) variable is labeled on the y axis. All models include individual fixed effects and adjust for hydroxyurea use, insurance, census tract social vulnerability index (SVI), distance from hospital, age, and yearly average minimum daily temperature. Clinical outcomes were calculated using quasi-Poisson multivariable models and included 1,089 individuals across 5,531 patient-years. Inflammatory outcomes were calculated using linear (Gaussian) multivariable models and included 1,065 individuals across 4,569 patient-years. Binary outcomes were calculated using logistic multivariable models and included 1,089 individuals across 5,531 patient-years for hospitalizations (yes/no) and 820 individuals across 2,284 patient-years for transcranial Doppler.

Copyright © 2025 American Society for Clinical Investigation
ISSN 2379-3708

Sign up for email alerts