Go to The Journal of Clinical Investigation
  • About
  • Editors
  • Consulting Editors
  • For authors
  • Publication ethics
  • Publication alerts by email
  • Transfers
  • Advertising
  • Job board
  • Contact
  • Physician-Scientist Development
  • Current issue
  • Past issues
  • By specialty
    • COVID-19
    • Cardiology
    • Immunology
    • Metabolism
    • Nephrology
    • Oncology
    • Pulmonology
    • All ...
  • Videos
  • Collections
    • In-Press Preview
    • Resource and Technical Advances
    • Clinical Research and Public Health
    • Research Letters
    • Editorials
    • Perspectives
    • Physician-Scientist Development
    • Reviews
    • Top read articles

  • Current issue
  • Past issues
  • Specialties
  • In-Press Preview
  • Resource and Technical Advances
  • Clinical Research and Public Health
  • Research Letters
  • Editorials
  • Perspectives
  • Physician-Scientist Development
  • Reviews
  • Top read articles
  • About
  • Editors
  • Consulting Editors
  • For authors
  • Publication ethics
  • Publication alerts by email
  • Transfers
  • Advertising
  • Job board
  • Contact
A composite immune signature parallels disease progression across T1D subjects
Cate Speake, Samuel O. Skinner, Dror Berel, Elizabeth Whalen, Matthew J. Dufort, William Chad Young, Jared M. Odegard, Anne M. Pesenacker, Frans K. Gorus, Eddie A. James, Megan K. Levings, Peter S. Linsley, Eitan M. Akirav, Alberto Pugliese, Martin J. Hessner, Gerald T. Nepom, Raphael Gottardo, S. Alice Long
Cate Speake, Samuel O. Skinner, Dror Berel, Elizabeth Whalen, Matthew J. Dufort, William Chad Young, Jared M. Odegard, Anne M. Pesenacker, Frans K. Gorus, Eddie A. James, Megan K. Levings, Peter S. Linsley, Eitan M. Akirav, Alberto Pugliese, Martin J. Hessner, Gerald T. Nepom, Raphael Gottardo, S. Alice Long
View: Text | PDF
Research Article

A composite immune signature parallels disease progression across T1D subjects

  • Text
  • PDF
Abstract

At diagnosis, most people with type 1 diabetes (T1D) produce measurable levels of endogenous insulin, but the rate at which insulin secretion declines is heterogeneous. To explain this heterogeneity, we sought to identify a composite signature predictive of insulin secretion, using a collaborative assay evaluation and analysis pipeline that incorporated multiple cellular and serum measures reflecting β cell health and immune system activity. The ability to predict decline in insulin secretion would be useful for patient stratification for clinical trial enrollment or therapeutic selection. Analytes from 12 qualified assays were measured in shared samples from subjects newly diagnosed with T1D. We developed a computational tool (DIFAcTO, Data Integration Flexible to Account for different Types of data and Outcomes) to identify a composite panel associated with decline in insulin secretion over 2 years following diagnosis. DIFAcTO uses multiple filtering steps to reduce data dimensionality, incorporates error estimation techniques including cross-validation and sensitivity analysis, and is flexible to assay type, clinical outcome, and disease setting. Using this novel analytical tool, we identified a panel of immune markers that, in combination, are highly associated with loss of insulin secretion. The methods used here represent a potentially novel process for identifying combined immune signatures that predict outcomes relevant for complex and heterogeneous diseases like T1D.

Authors

Cate Speake, Samuel O. Skinner, Dror Berel, Elizabeth Whalen, Matthew J. Dufort, William Chad Young, Jared M. Odegard, Anne M. Pesenacker, Frans K. Gorus, Eddie A. James, Megan K. Levings, Peter S. Linsley, Eitan M. Akirav, Alberto Pugliese, Martin J. Hessner, Gerald T. Nepom, Raphael Gottardo, S. Alice Long

×

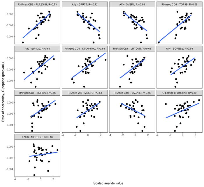
Figure 5

Individual correlations between each selected analyte and insulin secretion.

Options: View larger image (or click on image) Download as PowerPoint
Individual correlations between each selected analyte and insulin secret...
Immune markers were measured at trial enrollment (within 90 days of diagnosis, n = 30 subjects), and y axis indicates C-peptide decay rate per day over the 2 years after diagnosis. Each miniplot uses the scaled value for the analyte on the x axis. Pearson’s correlation values are listed at the top of each miniplot; miniplots are ordered by absolute correlation value. Regression lines in blue. Note that in this data set, several immune parameters have higher correlation values with rate of C-peptide decay than does C-peptide level at diagnosis (Pearson’s r = 0.39). Assays and analyte names are truncated; full names can be found in Table 3. “Affy” indicates the transcriptional response to T1D serum assay as this is conducted on the Affymetrix platform.

Copyright © 2026 American Society for Clinical Investigation
ISSN 2379-3708

Sign up for email alerts